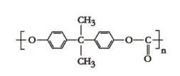
調查機關對被調查產品是否存在傾銷和傾銷幅度、被調查產品是否對大陸聚碳酸酯產業造成損害及損害程度以及傾銷與損害之間的因果關系進行了調查。根據調查結果和《反傾銷條例》第二十四條的規定,調查機關作出初步裁定(見附件)。現將有關事項公告如下:一、初步裁定調查機關初步認定,被調查產品存在傾銷,大陸聚碳酸酯產業受到實質損害,而且傾銷與實質損害之間存在因果關系。二、征收保證金根據《反傾銷條例》第二十八條和第二十九條的規定,調查機關決定采用保證金形式實施臨時反傾銷措施。自2023年8月15日起,進口經營者在進口各公司生產的被調查產品時,應依據本初裁決定所確定的各公司的保證金比率向中華人民共和國海關提供相應的保證金。被調查產品的具體描述如下:調查范圍:原產于臺灣地區的進口聚碳酸酯。被調查產品名稱:聚碳酸酯。英文名稱:Polycarbonate,簡稱PC。結構式:

物化特性:被調查產品是分子主鏈含雙酚A型碳酸酯基結構的高分子聚合物,外觀通常為透明的圓柱狀或球形粒子或固體粉末,具有抗沖擊強度高、加工性能好、透光率高、耐熱及耐寒性好等性能。主要用途:聚碳酸酯可用于電子電器、板材/薄膜、汽車、光學、包裝、醫療器械、安全防護等諸多領域。該產品歸在《中華人民共和國進出口稅則》:39074000。該稅則號項下雙酚A型聚碳酸酯按重量計含量小于99%的產品不在本次被調查產品范圍內。對臺灣地區公司征收的保證金比率如下:1.臺灣化學纖維股份有限公司 16.9%(FORMOSA CHEMICALS & FIBRE CORP.)2.臺灣出光石油化學股份有限公司 16.9%(IDEMITSU CHEMICALS TAIWAN CORPORATION)3.奇美實業股份有限公司 17.0%(CHIMEI CORPORATION)4.奇菱科技股份有限公司 17.0%(CHILIN TECHNOLOGY CO.,LTD.)5.其他臺灣地區公司 22.4%三、征收保證金的方法自2023年8月15日起,進口經營者在進口原產于臺灣地區的聚碳酸酯時,應依據本初裁決定所確定的各公司的保證金比率向中華人民共和國海關提供相應的保證金。保證金以海關審定的完稅價格從價計征,計算公式為:保證金金額=(海關審定的完稅價格×保證金征收比率)×(1+進口環節增值稅稅率)。四、評論各利害關系方在本公告發布之日起10天內,可向調查機關提交書面評論意見。(來源:商務部網站)



