國家統計局近日發布數據顯示,2022年2月份,70個大中城市中,一線城市新建商品住宅和二手住宅銷售價格環比上漲,二三線城市環比持平或下降;一二線城市商品住宅銷售價格同比漲幅回落或持平,三線城市同比下降。
一線城市新建商品住宅和二手住宅銷售價格環比上漲,二三線城市環比持平或下降
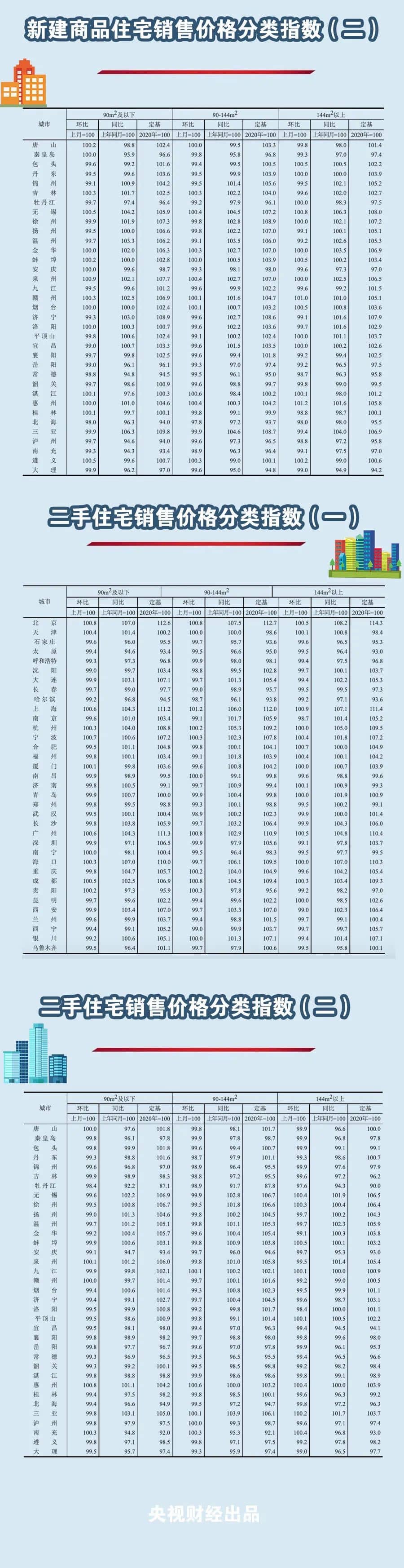
2月份,一線城市新建商品住宅銷售價格環比上漲0.5%,漲幅比上月回落0.1個百分點,其中北京、上海、廣州和深圳分別上漲0.6%、0.5%、0.6%和0.4%;一線城市二手住宅環比上漲0.5%,漲幅比上月擴大0.4個百分點,其中北京、上海和廣州分別上漲0.7%、0.9%和0.6%,深圳下降0.2%。二線城市新建商品住宅銷售價格環比由上月上漲0.1%轉為持平;二手住宅環比下降0.3%,降幅比上月擴大0.1個百分點。三線城市新建商品住宅銷售價格環比下降0.3%,降幅比上月擴大0.1個百分點;二手住宅環比下降0.4%,降幅與上月相同。
2月份,70個大中城市中,新建商品住宅和二手住宅銷售價格環比上漲城市分別有27個和10個,環比下降城市分別有40個和57個。
一二線城市新建商品住宅和二手住宅銷售價格同比漲幅回落或持平,三線城市同比下降
2月份,一線城市新建商品住宅銷售價格同比上漲4.4%,漲幅與上月相同;二手住宅同比上漲3.5%,漲幅比上月回落0.6個百分點。二線城市新建商品住宅和二手住宅銷售價格同比分別上漲2.1%和0.3%,漲幅比上月分別回落0.4和0.7個百分點。三線城市新建商品住宅銷售價格同比由上月上漲0.5%轉為下降0.1%;二手住宅同比下降1.3%,降幅比上月擴大0.6個百分點。
2月份,70個大中城市中,新建商品住宅和二手住宅銷售價格同比上漲城市分別有46個和30個,同比下降城市分別有24個和39個。
新建住宅方面,70個大中城市中,有27城環比價格上漲,比上月減少1城,西安環比漲1%領漲。
2022年2月份70個大中城市商品住宅銷售價格變動情況




